
液體黏度對渦輪流量計性能的影響
1 原理結構及概念
渦輪流量計利用置懸流體中葉輪感受流體的平均流速而推導出被測流體的瞬時流量和累積流量,一般由葉輪、導流器、永久磁鋼、感應線圈、前置放大器等部分組成。渦輪流量計的結構如圖1所示。

1—葉輪;2—導流器;3—永久磁鋼;4—感應線圈;
5—前置放大器;6—外殼。
圖1 渦輪流量計的結構
(1)流體黏度。由于流體流動時內部會產生魔擦,所以各層的速度是不同的,在相鄰層的接觸面存在一對等值反向的力,速度較快的流層帶動速度較慢的層,使之加快速度,速度較慢層阻滯較快層,使之減速,這種阻滯力稱為內摩擦力,而流體黏度是內摩擦的量度,是流體反抗形變的能力。各類流體的黏度不一,對于一般流體,黏度是溫度與壓力的函數。文中提到的黏度均為運動黏度,單位為cSt,1cSt=10-6m2/s。
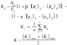
(2)系數。儀表系數K是指單位體積的流體通過流量計發出的脈沖數,單位為L-1,計算公式如下:

式中:Kij為第i檢定點第j次檢定時的系數,L-1;Nij為第i檢定點第j次檢定時的流量計顯示儀表測得的脈沖數;Vij為第i檢定點第j次檢定時標準裝置測得的實際體積,L;β為檢定用液體在檢定狀態下的體膨脹系數;(θs)ij、(θm)ij分別為第i檢定點第j次檢定時標準裝置和流量處的液體溫度,℃;κ為檢定用液體在檢定狀態下的壓縮系數;(ps)ij、(pm)ij分別第i檢定點第j次檢定時標準裝置和流量處的液體表壓力,Pa;n為每點檢定次數;(Ki)max為流量計在流量檢定點得到的Ki中的最大值;(Ki)min為流量計在流量檢定點得到的Ki中的最小值。
(3)線性度。在規定條件下,渦輪流量計校準曲線與擬合直線間的最大偏差與滿量程輸出間的百分比稱為線性度。該值越小,表明線性特性越好。計算公式如下:

式中:E為流量計的線性度。
2 檢測設備及條件
(1)大氣壓:101818Pa。
(2)介質:航空潤滑油。
(3)檢定裝置:航空潤滑油流量標準裝置。
(4)被檢表:型號為LWGY-15A,編號為0906280,生產商為上海自儀九儀表有限公司。
3 實驗數據及分析
根據上述檢測設備及條件,按照JJG1037—2008《渦輪流量計檢定規程》,在四種不同黏度下各檢定5個點,每點檢定3次,得到的數據如表1~表4所示,數據表中的頻率、流量、溫度、系數均為每點檢定3次各自的平均值。由表1得到儀表線性度為8.9%,儀表系數為528.61L-1;由表2得到儀表線性度為6.3%,儀表系數為553.89L-1;由表3得到儀表線性度為2.6%,儀表系數為596.18L-1;由表4得到儀表線性度為2.2%,儀表系數為622.44L-1。
表1 黏度為93.24cSt時的數據

表2 黏度為52.14cSt時的數據

表3 黏度為16.28cSt時的數據

表4 黏度為7.16cSt時的數據

由于流體具有黏性,所以滑油在通過流量計時產生黏滯阻力矩。從表1~表4可看出,滑油黏度從93.24cSt→52.14cSt→16.28cSt→7.16cSt變化時,渦輪流量計的系數(528.61L-1→553.89L-1→596.18L-1→622.44L-1)、線性度(8.9%→6.3%→2.6%→2.2%)都在逐步發生明顯的變化。當流量計的黏度最大為93.24cSt時(數據表1),整個流量計的線性度只有8.9%,根本無法使用,要想達到使用要求只有縮小量程。通過觀察、計算發現,只有流量為2.8990~4.1497m3/h時,線性度為(575.86-569.50)/(575.86+569.50)×100%=0.56%,才滿足JJG1037—2008《渦輪流量計檢定規程》允許的最大誤差1.0%,也就是說只有在這兩點范圍內使用,這個流量計才算是合格的。當黏度變小為7.16cSt時,線性度范圍則變寬,流量為1.0196~4.0465m3/h時,線性度為(631.96-620.88)/(631.96+620.88)×100%=0.88%,完全符合規程最大允許誤差。
另外,從表1~表4均可看出,流量計黏度的變化對流量最小點影響也比較大,在四種不同黏度下,系數都在流量最后一點時發生了明顯的下降;而且黏度最大為93.24cSt時,系數從524.93L-1變為481.35L-1,系數下降了43.58L-1;黏度為7.16cSt時,系數從620.88L-1變為608.97L-1,系數僅下降了11.91L-1。從中可看出,隨著黏度的變小,對流量計下限的影響也越來越小。黏度變化對渦輪流量計特性曲線的影響如圖2所示。圖2中特性曲線從下至上依次對應表1、表2、表3和表4,儀表系數隨著黏度的升高而下降,用于較高黏度時,儀表系數與流量之間不再保持線性關系,因此,渦輪流量計測量高黏度時,必須根據黏度和流量進行修正。圖2中特性曲線的擬合公式為:


圖2 黏度變化對渦輪流量計特性曲線的影響
用于測量液體的渦輪流量計,生產廠所給的儀表系數K通常是用常溫水標定的,黏度只有1cSt,為了保證測量的準確度,必須注意被測流體黏度對流量計特性的影響。實驗表明,當液體黏度大于15×10-6m2/s時,即使同一流量計同一介質,測量誤差也會明顯增大,所以必須盡量在接近的工作條件下重新標定,從而減小誤差。
液體黏度對渦輪流量計性能的影響本文轉自http://www.zyniki.com/。
下一篇:液態金屬鈉流量計電極材料的選擇
版權所有 Copyright(©)2009-2011 江蘇力科儀表有限公司
電話號碼:0517-86909222 商務熱線:15305232668 傳真:0517-86909221
地址:江蘇省金湖縣工業園
技術支持:易品網站建設專家 蘇ICP備13047422號-2